Sodelovanje PENETRONA pri projektu H2020 ReSHEALience (GA760824)

Preoblikovanje obalne infrastrukture in infrastruktur za zeleno energijo s pomočjo visokozmogljivih materialov na osnovi cementa enHancEd-durAbiLity

Nedelja, 17. januar 2021

Pri projektu H2020 ReSHEALience (GA760824) - (Preoblikovanje obalne infrastrukture in infrastruktur za zeleno energijo s pomočjo visokozmogljivih materialov na osnovi cementa enHancEd-durAbiLity) ki ga je financirala EU Obzorje 2020, je sodeloval tudi PENETRON. V začetku januarja 2021 je izdano končno poročilo, ki podpira sistem samoozdravljivega betona :

Naslov znanstvenega članka: »Sinergija med kristalnimi primesmi in nanokomponentami za povečanje avtogene sposobnosti celjenja cementnih kompozitov v ciklih razpok in celjenja v agresivnih vodah«, prinaša celovito analizo opravljenih raziskav.

Poudarki raziskave

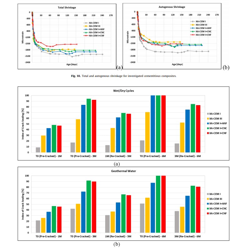
• Sposobnost samozdravljenja betona v agresivnih okoljskih scenarijih je bila preučena na vzorcih HPFRCC.

• Tri vrste nanokomponent, ki so bile vključene v HPFRCC.

• Uporabljena so bila nanovlakna iz aluminijevega oksida in celuloza (nanokristali in nanovlakna).

• Analizirane so bile mehanske in trajne lastnosti.

Povzetek

Več kot eno stoletje po množični uvedbi v gradbeno industrijo je beton še vedno najbolj priljubljen gradbeni material. Dejstvo da ima veliko infrastrukturnih objektov probleme, je v zadnjih letih spodbudilo potrebo po ponovnem premisleku o postopku oblikovanja betonskih konstrukcij, da bi zmanjšali stroške vzdrževanja in podaljšali njihovo življenjsko dobo. To delo je bilo izvedeno v okviru tega projekta. Glavna ideja projekta je, da lahko dolgoročno obnašanje betonskih struktur v izjemno agresivnih pogojih izpostavljenosti zelo koristi pri uporabi visoko zmogljivih materialov v okviru pristopov oblikovanja, ki temeljijo na trajnosti. Projekt je prilagodil sestavo ultra visoko trpežnega betona (UHDC) z nadgradnjo koncepta visokozmogljivega cementnega kompozita / visokozmogljivega vlakna ojačanega cementnega kompozita (HPCC / HPFRCC) z vključitvijo prilagojenih sestavin nanodelcev, ki se med drugim osredotočajo na: o spodbujanju avtogene sposobnosti samozdravljenja. To delo prikazuje učinkovitost zgoraj omenjenega koncepta, doseženega z vključitvijo treh vrst nanokomponent v referenčni HPFRCC: nanovlaken aluminijevega oksida (0,25 mas.% Cementa), nanokristali celuloze (0,15 mas.% Cementa) in nanocelulozne celuloze. vlakna (0,15 mas.% cementa). Vpliv nanokomponent je bil analiziran z vidika mehanskih lastnosti, kot so upogibna in tlačna trdnost, ter na lastnosti krčenja in trajnosti, analiziran s pomočjo testov sorptivnosti na razpokanih, razpokanih in samozdravljenih vzorcih glede na izbrane scenariji agresivne izpostavljenosti, ki so reprezentativni za predvidene inženirske uporabe preiskovanih materialov.

Celotno poročilo lahko najdete na tukaj